Barisan Geometri.

Perhatikan contoh-contoh barisan di bawah ini.
a. 3, 6, 12, 24, . . .
b. a, a2, a3, a4, a5, . . .
c. py, py2, py3, py4, py5, ...
Aturan apakah yang berlaku pada barisan bilangan di atas? Apakah bedanya dengan barisan aritmatika?
Barisan bilangan yang mempunyai ciri seperti itu disebut barisan geometri. Perbandingan antara dua suku berturutan pada barisan geometri disebut rasio.
Contoh-contoh barisan di atas merupakan barisan geometri karena pada masing-masing barisan perbandingan antara setiap suku dengan suku sebelumnya sama nilainya.
Definisi
Barisan geometri adalah barisan bilangan yang nilai perbandingan tiap dua sukunya yang berurutan sama.
Dengan kata lain, barisan U1, U2, U3, U4, ... , Un disebut barisan geometri jika U2/ U1 = U3/U2 = U4/U3 .
Perhatikan kembali contoh di atas.
Pada contoh diatas tampak bahwa, perbandingan setiap dua suku berurutan pada barisan tersebut selalu tetap. Barisan bilangan seperti ini disebut barisan geometri dengan perbandingan setiap dua suku berurutannya dinamakan rasio (r).

INGAT!!!
Pada barisan geometri, berlaku Un/Un – 1 = r sehingga Un = r.Un – 1
Jadi rumus umum suku ke-n barisan geometri dengan suku pertama = a dan rasio r dapat dinyatakan sebagai berikut.
a. Tentukan rasionya.
b. Tentukan rumus Un.
c. Tentukan nilai Suku ke-7.
Penyelesaian:
Penyelesaian:
Pertama-tama tentukan dulu suku pertama (a) dan rasionya (r), setelah itu baru tentukan suku keempatnya dengan rumus Un.
Penyelesaian:
Jadi bilangan yang dimaksud adalah 20, 10, 5 atau 5, 10, 20

Perhatikan contoh-contoh barisan di bawah ini.
a. 3, 6, 12, 24, . . .
b. a, a2, a3, a4, a5, . . .
c. py, py2, py3, py4, py5, ...
Aturan apakah yang berlaku pada barisan bilangan di atas? Apakah bedanya dengan barisan aritmatika?
Barisan bilangan yang mempunyai ciri seperti itu disebut barisan geometri. Perbandingan antara dua suku berturutan pada barisan geometri disebut rasio.
Contoh-contoh barisan di atas merupakan barisan geometri karena pada masing-masing barisan perbandingan antara setiap suku dengan suku sebelumnya sama nilainya.
Definisi
Barisan geometri adalah barisan bilangan yang nilai perbandingan tiap dua sukunya yang berurutan sama.
Dengan kata lain, barisan U1, U2, U3, U4, ... , Un disebut barisan geometri jika U2/ U1 = U3/U2 = U4/U3 .
Perhatikan kembali contoh di atas.
Pada contoh diatas tampak bahwa, perbandingan setiap dua suku berurutan pada barisan tersebut selalu tetap. Barisan bilangan seperti ini disebut barisan geometri dengan perbandingan setiap dua suku berurutannya dinamakan rasio (r).

Barisan geometri adalah suatu barisan dengan pembanding (rasio) antara dua suku yang berurutan selalu tetap.
Bentuk umum:
U1, U2, U3, U4, ... , Un
atau
a, ar, ar2, ar3, ar4, ..., arn – 1
Bentuk umum:
U1, U2, U3, U4, ... , Un
atau
a, ar, ar2, ar3, ar4, ..., arn – 1
INGAT!!!
Pada barisan geometri, berlaku Un/Un – 1 = r sehingga Un = r.Un – 1
Jadi rumus umum suku ke-n barisan geometri dengan suku pertama = a dan rasio r dapat dinyatakan sebagai berikut.
Suku ke-n barisan geometri adalah:
Un = a.rn – 1
dengan U = suku ke-n
a = suku pertama
r = rasio (pembanding)
n = banyaknya suku
Un = a.rn – 1
dengan U = suku ke-n
a = suku pertama
r = rasio (pembanding)
n = banyaknya suku
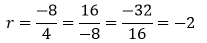
Contoh Soal 1.
Diketahui barisan geometri 4, –8, 16, –32, . . .a. Tentukan rasionya.
b. Tentukan rumus Un.
c. Tentukan nilai Suku ke-7.
Penyelesaian:
Contoh Soal 2.
Suku kedua dan kelima suatu barisan geometri berturut-turut 6 dan 162. Tentukan suku keempatnya.Penyelesaian:
Pertama-tama tentukan dulu suku pertama (a) dan rasionya (r), setelah itu baru tentukan suku keempatnya dengan rumus Un.
| PEMBAHASAN CONTOH SOAL 2 | ||
| Langkah 1 Menentukan rasio | Langkah 2 Menentukan a | Langkah 3 Menentukan U4 |
| Suku kedua = 6 → ar = 6 Suku kelima = 162 ar4 = 162 ar. r3 = 162 6. r3 = 162 r3 = 27 r3 = 33 r = 3 | ar = 6 a.3 = 6 a = 2 | U4 = a.r4 – 1 = 2.33 = 2.27 = 54 |
Contoh Soal 3.
Tiga bilangan aritmetika membentuk barisan geometri jumlah ketiga bilangan itu 35 dan hasil kalinya 1.000. Tentukan bilangan-bilangan tersebut.Penyelesaian:
| PEMBAHASAN CONTOH SOAL 3 | |
| Menetukan nilai a | Menetukan Rasio |
| Misalkan barisan tersebut adalah: ar– 1, a, ar hasil kalinya 1.000 → ar–1. a. ar = 1000 a3 = 103 a = 10 | jumlah ketiga bilangan itu 35 → ar–1 + a + a.r = 35 10r–1 + 10 + 10.r = 35 10 + 10r + 10.r2 = 35r 10.r2 – 15r + 10 = 0 2r2 – 5r + 2 = 0 (2r – 1)(r – 2) = 0 r = 1/2 atau r = 2 |





No comments:
Post a Comment